




如果您无法下载资料,请参考说明:
1、部分资料下载需要金币,请确保您的账户上有足够的金币
2、已购买过的文档,再次下载不重复扣费
3、资料包下载后请先用软件解压,在使用对应软件打开
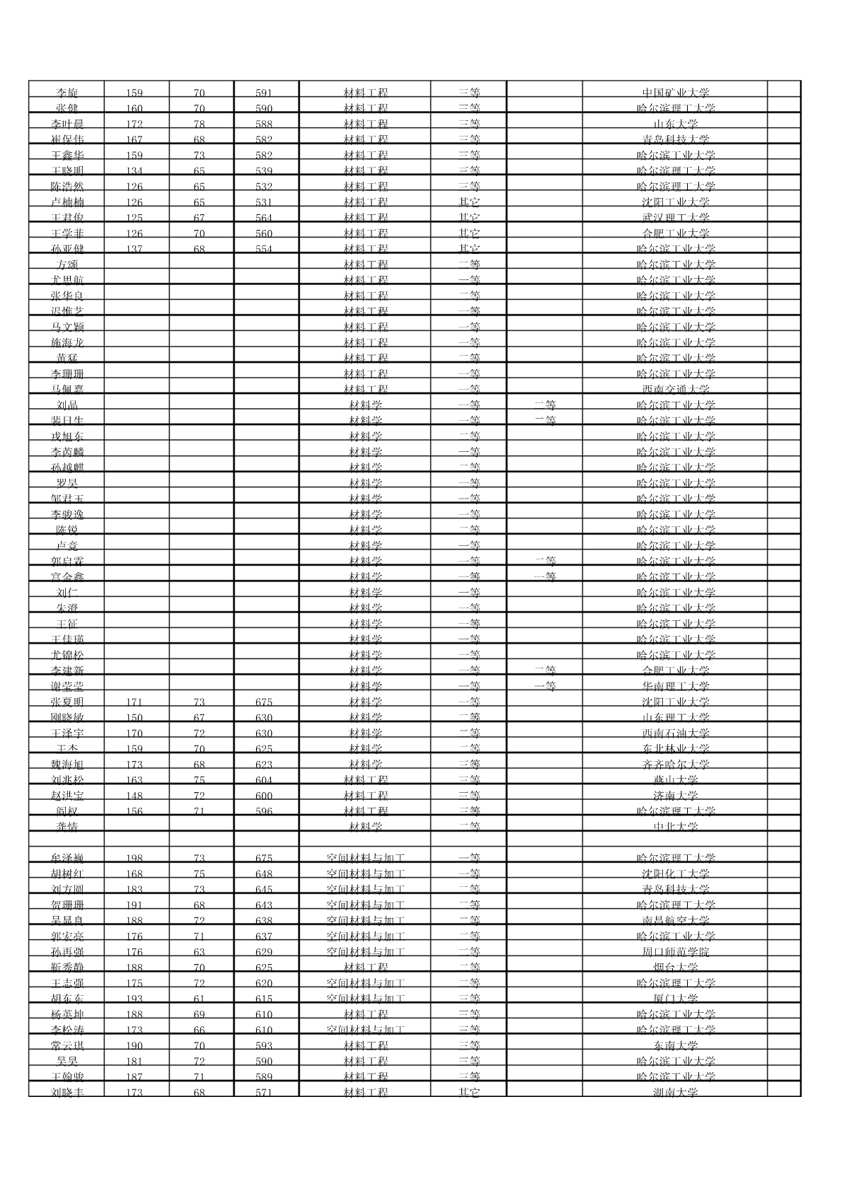
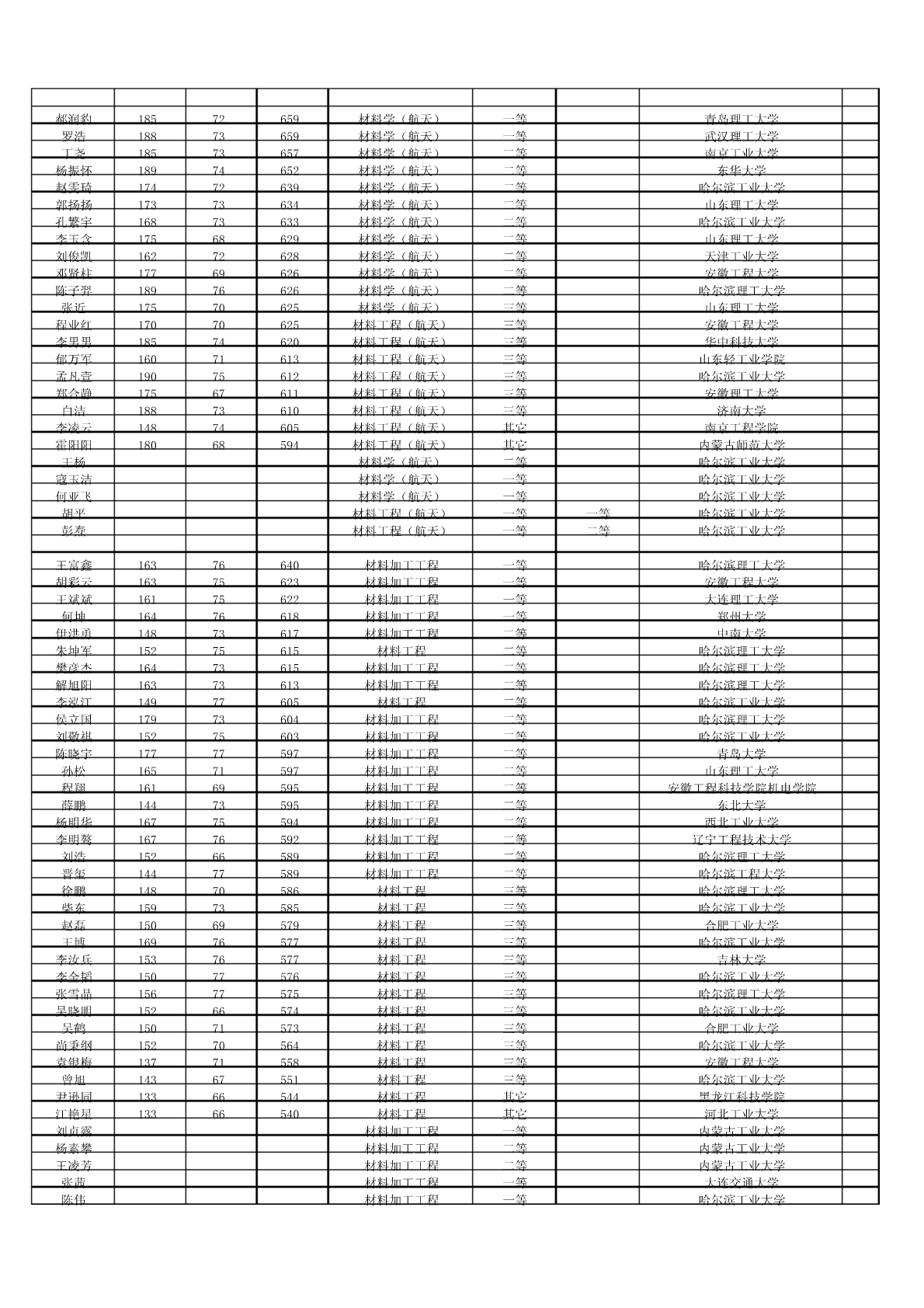
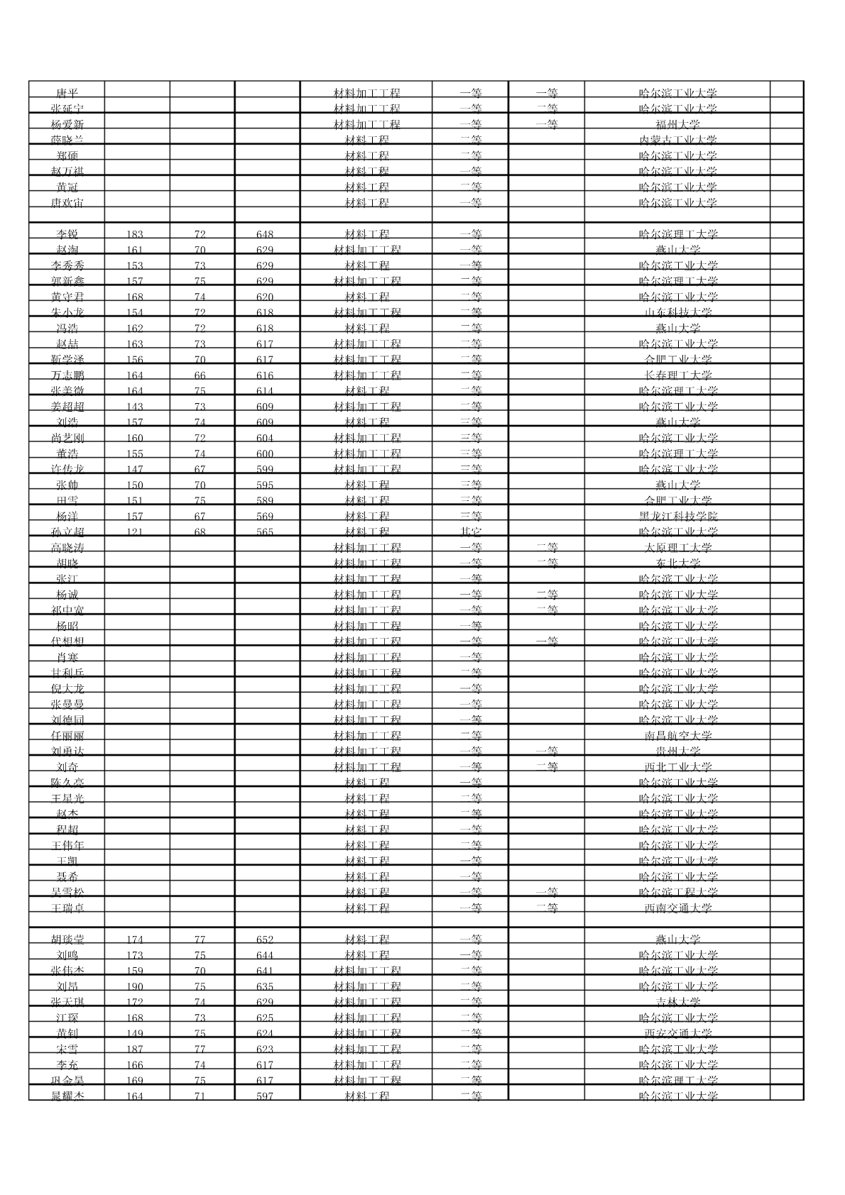
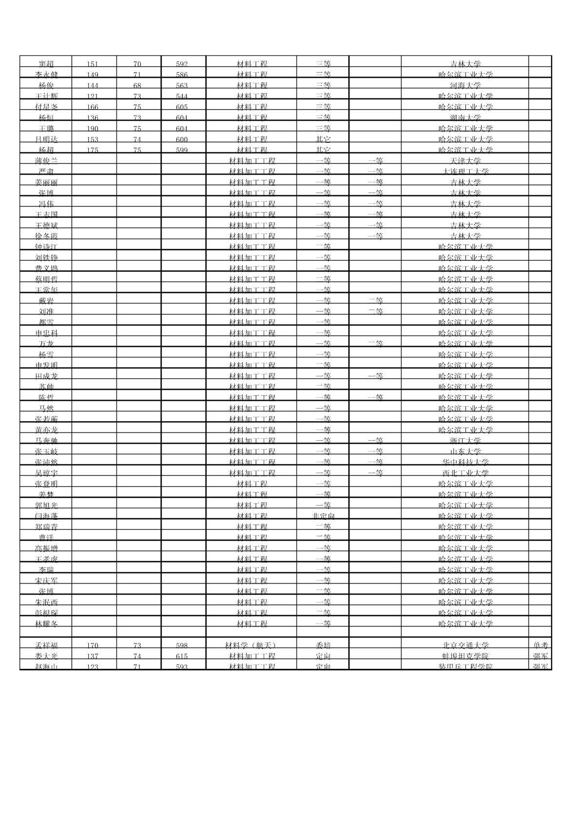
2013年哈尔滨工业大学硕士研究生招生拟录取名单-材料学院-本部姓名复试成绩总成绩录取专业录取类别毕业学校单位备注笔试面试基本奖学金专项奖学金倪世明18663603信息功能与器件一等哈尔滨工业大学石宇辰19566602信息功能与器件二等哈尔滨工业大学郝春蕾16373593信息功能与器件二等烟台大学李海亮14173592信息功能与器件二等哈尔滨工业大学王建16467580信息功能与器件三等青岛科技大学张思15672558信息功能与器件三等哈尔滨工业大学孙兴敏12564553信息功能与器件其它青岛大学焦小鹃17768653材料物理与化学一等黑龙江大学周竞超15673639材料物理与化学一等哈尔滨工业大学李威翰17772624材料物理与化学二等合肥工业大学王旭17566596材料物理与化学二等哈尔滨工业大学张妍17660594材料物理与化学二等哈尔滨师范大学宋远伟16363590材料物理与化学二等合肥工业大学刘晓丽17773584材料物理与化学二等哈尔滨工业大学吴冷西17262577材料物理与化学二等青岛大学时哲16769576材料工程三等石家庄铁道大学戴祥福14261576材料工程三等哈尔滨理工大学王景15068576材料工程三等河南师范大学李东14674576材料工程三等大连理工大学郑皓14966572材料工程三等哈尔滨工程大学高兆林15767565材料工程其它齐齐哈尔大学孙权材料物理与化学一等哈尔滨工业大学段树野材料物理与化学一等哈尔滨工业大学赵煦材料物理与化学一等东北林业大学刘春雨材料物理与化学一等一等合肥工业大学张亚楠材料物理与化学一等一等西北工业大学严志洋材料工程一等哈尔滨工业大学李剑楠材料工程二等哈尔滨工业大学关敬涛材料工程二等西南科技大学焦冉18776688材料学一等燕山大学孙良博17974672材料学一等燕山大学李野18272642材料学一等南京航空航天大学刘庆永16373640材料学一等哈尔滨工业大学石晓松18074637材料学一等燕山大学孙佩玲16371633材料学二等鲁东大学伞宏赡17275624材料学二等武汉大学王文文16572621材料学二等山东科技大学姚梦18276621材料学二等哈尔滨理工大学张平15769621材料学二等合肥工业大学贺宗晶18977620材料学二等中国石油大学胜利学院马璟瑶17175617材料学二等西北工业大学唐晓朋16172616材料学二等合肥工业大学黄亮15574614材料学二等哈尔滨工程大学崔钟元17372613材料学二等哈尔滨理工大学唐骜17577612材料学二等哈尔滨工业大学周红16177612材料学二等河海大学闫旭15171609材料学二等中国矿业大学向前16271606材料学二等哈尔滨理工大学刘鑫16172606材料学二等大连理工大学张喆16472606材料学二等哈尔滨工业大学邹永纯16673605材料学二等沈阳工业大学王博15175589材料工程二等山东理工大学任建伟13971583材料工程二等沈阳工业大学刘肖婷16973605材料工程二等哈尔滨理工大学杜青15270603材料工程三等河南科技大学王雷16072602材料工程三等哈尔滨理工大学张会绢15571599材料工程三等青岛科技大学李春晖16373598材料工程三等哈尔滨工业大学宋乐17176595材料工程三等哈尔滨理工大学张利伟16968592材料工程三等天津理工大学李旋15970591材料工程三等中国矿业大学张健16070590材料工程三等哈尔滨理工大学李叶晨17278588材料工程三等山东大学崔保伟16768582材料工程三等青岛科技大学王鑫华15973582材料工程三等哈尔滨工业大学王晓明13465539材料工程三等哈尔滨理工大学陈浩然12665532材料工程三等哈尔滨理工大学卢楠楠12665531材料工程其它沈阳工业大学王君俊12567564材料工程其它武汉理工大学王学菲12670560材料工程其它合肥工业大学孙亚健13768554材料工程其它哈尔滨工业大学方颂材料工程二等哈尔滨工业大学尤思航材料工程一等哈尔滨工业大学张华良材料工程二等哈尔滨工业大学迟惟艺材料工程一等哈尔滨工业大学马文颖材料工程一等哈尔滨工业大学施海龙材料工程一等哈尔滨工业大学黄猛材料工程二等哈尔滨工业大学李珊珊材料工程一等哈尔滨工业大学马佩嘉材料工程一等西南交通大学刘晶材料学一等二等哈尔滨工业大学裴日生材料学一等二等哈尔滨工业大学戎旭东材料学二等哈尔滨工业大学李芮麟材料学一等哈尔滨工业大学孙越麒材料学二等哈尔滨工业大学罗昊材料学一等哈尔滨工业大学邹君玉材料学一等哈尔滨工业大学李骏逸材料学一等哈尔滨工业大学陈锐材料学二等哈尔滨工业大学卢竞材料学一等哈尔滨工业大学郭启霖材料学一等二等哈尔滨工业大学宫金鑫材料学一等一等哈尔滨工业大学刘仁材料

17****69
实名认证
内容提供者


最近下载
一种胃肠道超声检查助显剂及其制备方法.pdf
201651206021+莫武林+浅析在互联网时代下酒店的营销策略——以湛江民大喜来登酒店为例.doc
201651206021+莫武林+浅析在互联网时代下酒店的营销策略——以湛江民大喜来登酒店为例.doc
用于空间热电转换的耐高温涡轮发电机转子及其装配方法.pdf
用于空间热电转换的耐高温涡轮发电机转子及其装配方法.pdf
用于空间热电转换的耐高温涡轮发电机转子及其装配方法.pdf
用于空间热电转换的耐高温涡轮发电机转子及其装配方法.pdf
用于空间热电转换的耐高温涡轮发电机转子及其装配方法.pdf
用于空间热电转换的耐高温涡轮发电机转子及其装配方法.pdf
论《离骚》诠释史中的“香草”意蕴.docx