



如果您无法下载资料,请参考说明:
1、部分资料下载需要金币,请确保您的账户上有足够的金币
2、已购买过的文档,再次下载不重复扣费
3、资料包下载后请先用软件解压,在使用对应软件打开
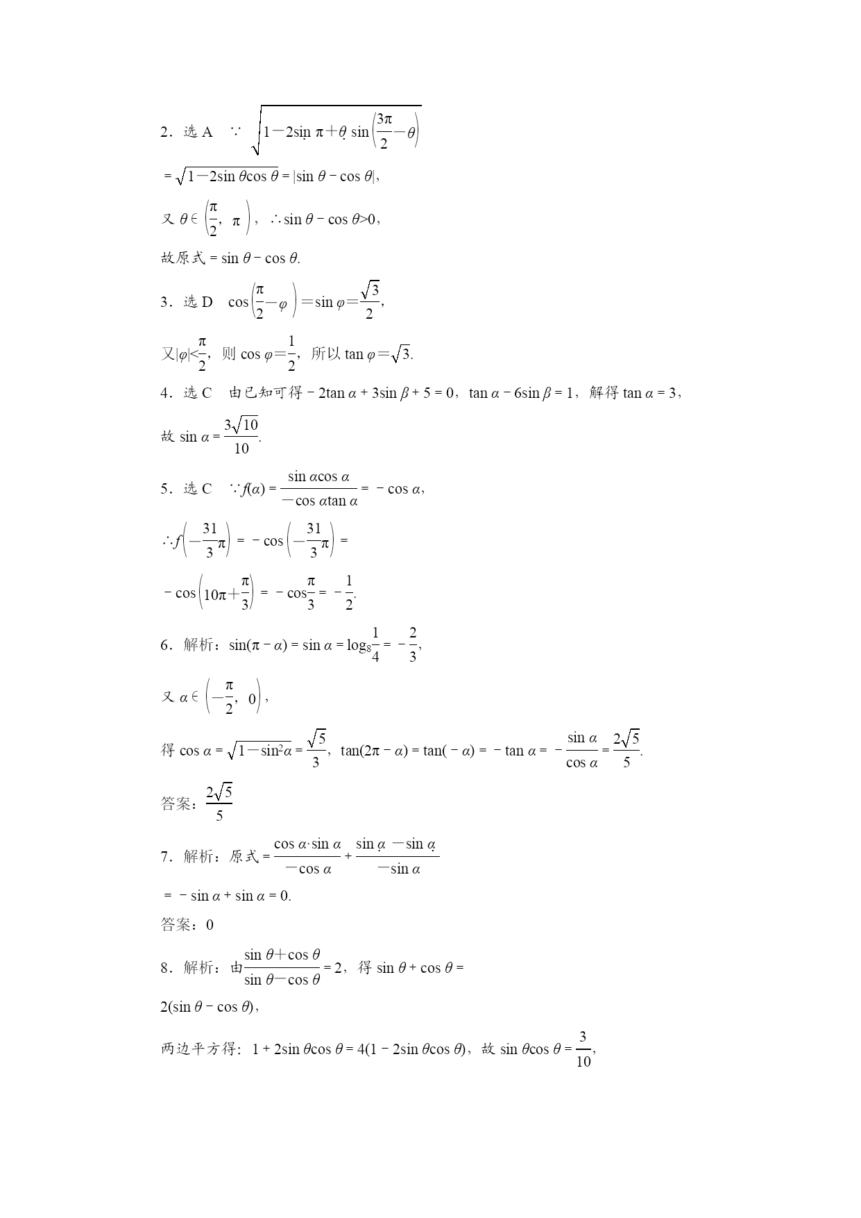
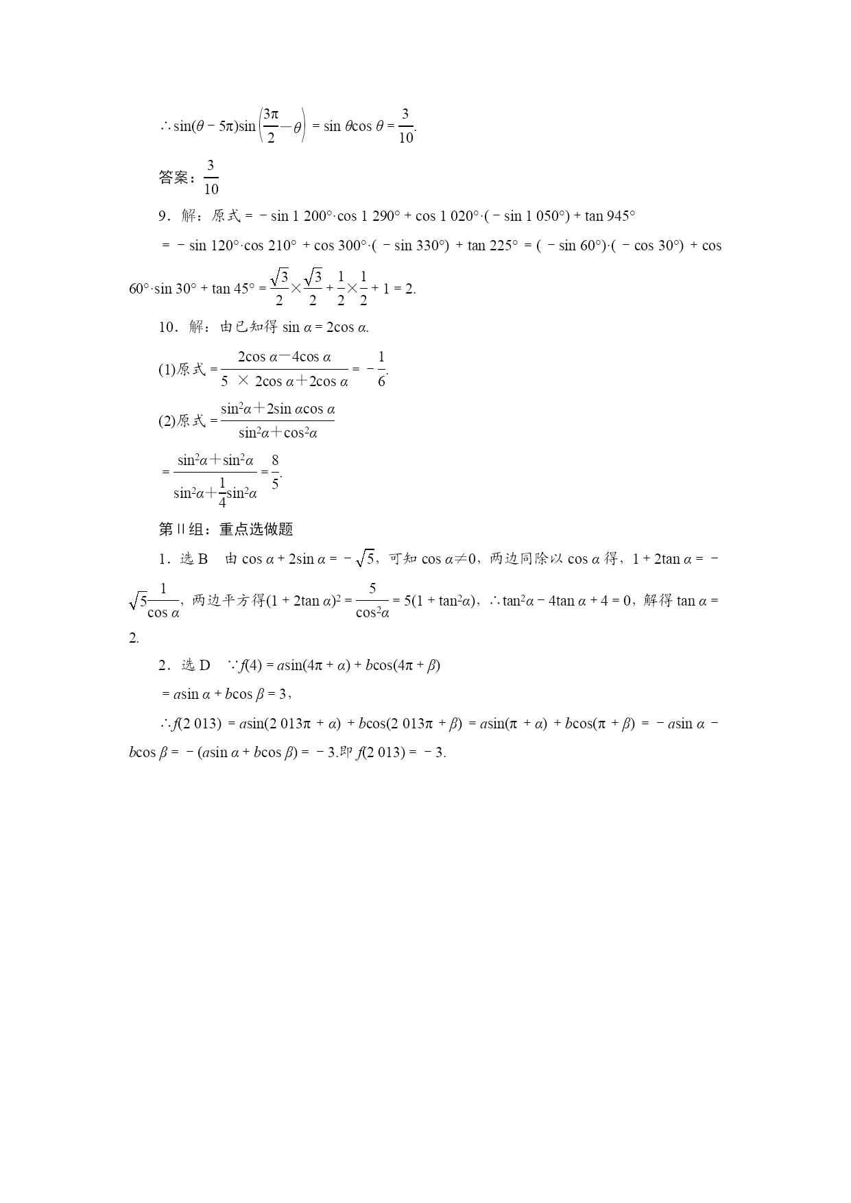
课时跟踪检测(十八)同角三角函数的基本关系与诱导公式 第Ⅰ组:全员必做题 1.(2014·皖北模拟)若sineq\b\lc\(\rc\)(\a\vs4\al\co1(\f(π,6)+α))=eq\f(3,5),则coseq\b\lc\(\rc\)(\a\vs4\al\co1(\f(π,3)-α))=() A.-eq\f(3,5) B.eq\f(3,5) C.eq\f(4,5) D.-eq\f(4,5) 2.(2013·辽宁五校第二次联考)若θ∈eq\b\lc\(\rc\)(\a\vs4\al\co1(\f(π,2),π)),则eq\r(1-2sinπ+θsin\b\lc\(\rc\)(\a\vs4\al\co1(\f(3π,2)-θ)))=() A.sinθ-cosθ B.cosθ-sinθ C.±(sinθ-cosθ) D.sinθ+cosθ 3.已知coseq\b\lc\(\rc\)(\a\vs4\al\co1(\f(π,2)-φ))=eq\f(\r(3),2),且|φ|<eq\f(π,2),则tanφ=() A.-eq\f(\r(3),3) B.eq\f(\r(3),3) C.-eq\r(3) D.eq\r(3) 4.(2013·石家庄模拟)已知α为锐角,且2tan(π-α)-3coseq\b\lc\(\rc\)(\a\vs4\al\co1(\f(π,2)+β))+5=0,tan(π+α)+6sin(π+β)=1,则sinα的值是() A.eq\f(3\r(5),5) B.eq\f(3\r(7),7) C.eq\f(3\r(10),10) D.eq\f(1,3) 5.已知f(α)=eq\f(sinπ-αcos2π-α,cos-π-αtanα),则feq\b\lc\(\rc\)(\a\vs4\al\co1(-\f(31,3)π))的值为() A.eq\f(1,2) B.-eq\f(1,3) C.-eq\f(1,2) D.eq\f(1,3) 6.(2014·成都一模)已知sin(π-α)=log8eq\f(1,4),且α∈eq\b\lc\(\rc\)(\a\vs4\al\co1(-\f(π,2),0)),则tan(2π-α)的值为________. 7.化简eq\f(sin\b\lc\(\rc\)(\a\vs4\al\co1(\f(π,2)+α))·cos\b\lc\(\rc\)(\a\vs4\al\co1(\f(π,2)-α)),cosπ+α)+eq\f(sinπ-α·cos\b\lc\(\rc\)(\a\vs4\al\co1(\f(π,2)+α)),sinπ+α)=________. 8.若eq\f(sinθ+cosθ,sinθ-cosθ)=2,则sin(θ-5π)sineq\b\lc\(\rc\)(\a\vs4\al\co1(\f(3π,2)-θ))=________. 9.求值:sin(-1200°)·cos1290°+cos(-1020°)·sin(-1050°)+tan945°. 10.已知sin(3π+α)=2sineq\b\lc\(\rc\)(\a\vs4\al\co1(\f(3π,2)+α)),求下列各式的值: (1)eq\f(sinα-4cosα,5sinα+2cosα);(2)sin2α+sin2α. 第Ⅱ组:重点选做题 1.(2014·周口一模)若cosα+2sinα=-eq\r(5),则tanα=() A.eq\f(1,2) B.2 C.-eq\f(1,2) D.-2 2.(2013·黄冈二模)已知函数f(x)=asin(πx+α)+bcos(πx+β),且f(4)=3,则f(2013)的值为() A.-1 B.1 C.3 D.-3 答案 第Ⅰ组:全员必做题 1.选Bcoseq\b\lc\(\rc\)(\a\vs4\al\co1(\f(π,3)-α))=coseq\b\lc\[\rc\](\a\vs4\al\co1(\f(π,2)-\b\lc\(\rc\)(\a\vs4\al\co1(\f(π,6)+α)))) =sineq\b\lc\(\rc\)(\a\vs4\al\co1(\f(π,6)+α))=eq\f(3,5),故选B. 2.选A∵eq\r(1-2sinπ+θsin\b\lc\(\rc\)(\a\vs4\al\co1(\f(3π,2)-θ))) =eq\r(1-2sinθ

sy****29
实名认证
内容提供者


最近下载
一种胃肠道超声检查助显剂及其制备方法.pdf
201651206021+莫武林+浅析在互联网时代下酒店的营销策略——以湛江民大喜来登酒店为例.doc
201651206021+莫武林+浅析在互联网时代下酒店的营销策略——以湛江民大喜来登酒店为例.doc
用于空间热电转换的耐高温涡轮发电机转子及其装配方法.pdf
用于空间热电转换的耐高温涡轮发电机转子及其装配方法.pdf
用于空间热电转换的耐高温涡轮发电机转子及其装配方法.pdf
用于空间热电转换的耐高温涡轮发电机转子及其装配方法.pdf
用于空间热电转换的耐高温涡轮发电机转子及其装配方法.pdf
用于空间热电转换的耐高温涡轮发电机转子及其装配方法.pdf
论《离骚》诠释史中的“香草”意蕴.docx