



如果您无法下载资料,请参考说明:
1、部分资料下载需要金币,请确保您的账户上有足够的金币
2、已购买过的文档,再次下载不重复扣费
3、资料包下载后请先用软件解压,在使用对应软件打开
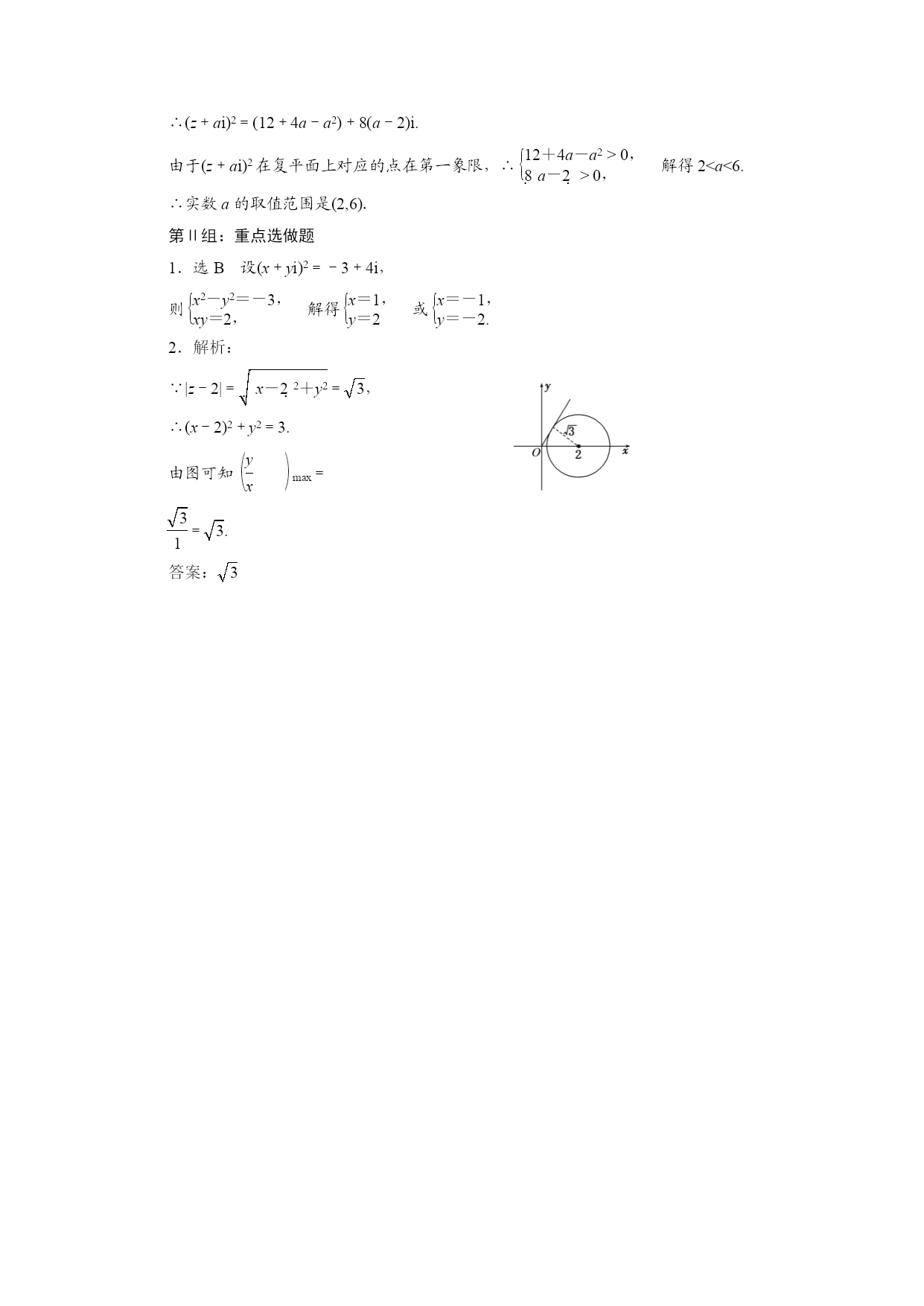
课时跟踪检测(二十八)数系的扩充与复数的引入 第Ⅰ组:全员必做题 1.已知a是实数,eq\f(a+i,1-i)是纯虚数,则a等于() A.-1 B.1 C.eq\r(2) D.-eq\r(2) 2.(2013·郑州质量预测)若复数z=2-i,则eq\o(z,\s\up6(-))+eq\f(10,z)=() A.2-i B.2+i C.4+2i D.6+3i 3.(2014·萍乡模拟)复数eq\f(1+2i2+i,1-i2)等于() A.eq\f(5,2) B.-eq\f(5,2) C.eq\f(5,2)i D.-eq\f(5,2)i 4.(2014·长沙模拟)已知集合M=eq\b\lc\{\rc\}(\a\vs4\al\co1(i,i2,\f(1,i),\f(1+i2,i))),i是虚数单位,Z为整数集,则集合Z∩M中的元素个数是() A.3个 B.2个 C.1个 D.0个 5.(2013·陕西高考)设z是复数,则下列命题中的假命题是() A.若z2≥0,则z是实数 B.若z2<0,则z是虚数 C.若z是虚数,则z2≥0 D.若z是纯虚数,则z2<0 6.(2013·重庆高考)已知复数z=eq\f(5i,1+2i)(i是虚数单位),则|z|=________. 7.若eq\f(3+bi,1-i)=a+bi(a,b为实数,i为虚数单位),则a+b=________. 8.已知复数z=1-i,则eq\f(z2-2z,z-1)=________. 9.计算:(1)eq\f(-1+i2+i,i3); (2)eq\f(1+2i2+31-i,2+i); (3)eq\f(1-i,1+i2)+eq\f(1+i,1-i2); (4)eq\f(1-\r(3)i,\r(3)+i2). 10.已知z是复数,z+2i,eq\f(z,2-i)均为实数(i为虚数单位),且复数(z+ai)2在复平面上对应的点在第一象限,求实数a的取值范围. 第Ⅱ组:重点选做题 1.定义:若z2=a+bi(a,b∈R,i为虚数单位),则称复数z是复数a+bi的平方根.根据定义,则复数-3+4i的平方根是() A.1-2i或-1+2i B.1+2i或-1-2i C.-7-24i D.7+24i 2.已知复数z=x+yi,且|z-2|=eq\r(3),则eq\f(y,x)的最大值为________. 答案 第Ⅰ组:全员必做题 1.选Beq\f(a+i,1-i)=eq\f(a+i1+i,1-i1+i)=eq\f(a-1+a+1i,2),当eq\f(a+i,1-i)为纯虚数时,eq\f(a-1,2)=0,即a=1. 2.选D∵z=2-i,∴eq\o(z,\s\up6(-))+eq\f(10,z)=(2+i)+eq\f(10,2-i)=(2+i)+eq\f(102+i,2-i2+i)=6+3i. 3.选Beq\f(1+2i2+i,1-i2)=eq\f(2+4i+i+2i2,-2i)=eq\f(5i,-2i)=-eq\f(5,2). 4.选B由已知得M={i,-1,-i,2},Z为整数集,∴Z∩M={-1,2},即集合Z∩M中有2个元素. 5.选C实数可以比较大小,而虚数不能比较大小,设z=a+bi(a,b∈R),则z2=a2-b2+2abi,由z2≥0,得eq\b\lc\{\rc\(\a\vs4\al\co1(ab=0,,a2-b2≥0,))则b=0,或a,b都为0,即z为实数,故选项A为真,同理选项B为真;而选项C为假,选项D为真. 6.解析:eq\f(5i,1+2i)=eq\f(5i1-2i,1+2i1-2i)=2+i,所以|z|=eq\r(5). 答案:eq\r(5) 7.解析:由eq\f(3+bi,1-i)=eq\f(3+bi1+i,1-i1+i)= eq\f(3-b+3+bi,2)=a+bi, 得a=eq\f(3-b,2),b=eq\f(3+b,2),解得b=3,a=0, 所以a+b=3. 答案:3 8.解析:eq\f(z2-2z,z-1)=eq\f(z-12-1,z-1)=z-1-eq\f(1,z-1)=(-i)-eq\f(1,-i)=-i-eq\f(i,-i·i)=-2i. 答案:-2i 9.解:(1)eq\f(-1

sy****29
实名认证
内容提供者


最近下载
一种胃肠道超声检查助显剂及其制备方法.pdf
201651206021+莫武林+浅析在互联网时代下酒店的营销策略——以湛江民大喜来登酒店为例.doc
201651206021+莫武林+浅析在互联网时代下酒店的营销策略——以湛江民大喜来登酒店为例.doc
用于空间热电转换的耐高温涡轮发电机转子及其装配方法.pdf
用于空间热电转换的耐高温涡轮发电机转子及其装配方法.pdf
用于空间热电转换的耐高温涡轮发电机转子及其装配方法.pdf
用于空间热电转换的耐高温涡轮发电机转子及其装配方法.pdf
用于空间热电转换的耐高温涡轮发电机转子及其装配方法.pdf
用于空间热电转换的耐高温涡轮发电机转子及其装配方法.pdf
论《离骚》诠释史中的“香草”意蕴.docx