




如果您无法下载资料,请参考说明:
1、部分资料下载需要金币,请确保您的账户上有足够的金币
2、已购买过的文档,再次下载不重复扣费
3、资料包下载后请先用软件解压,在使用对应软件打开
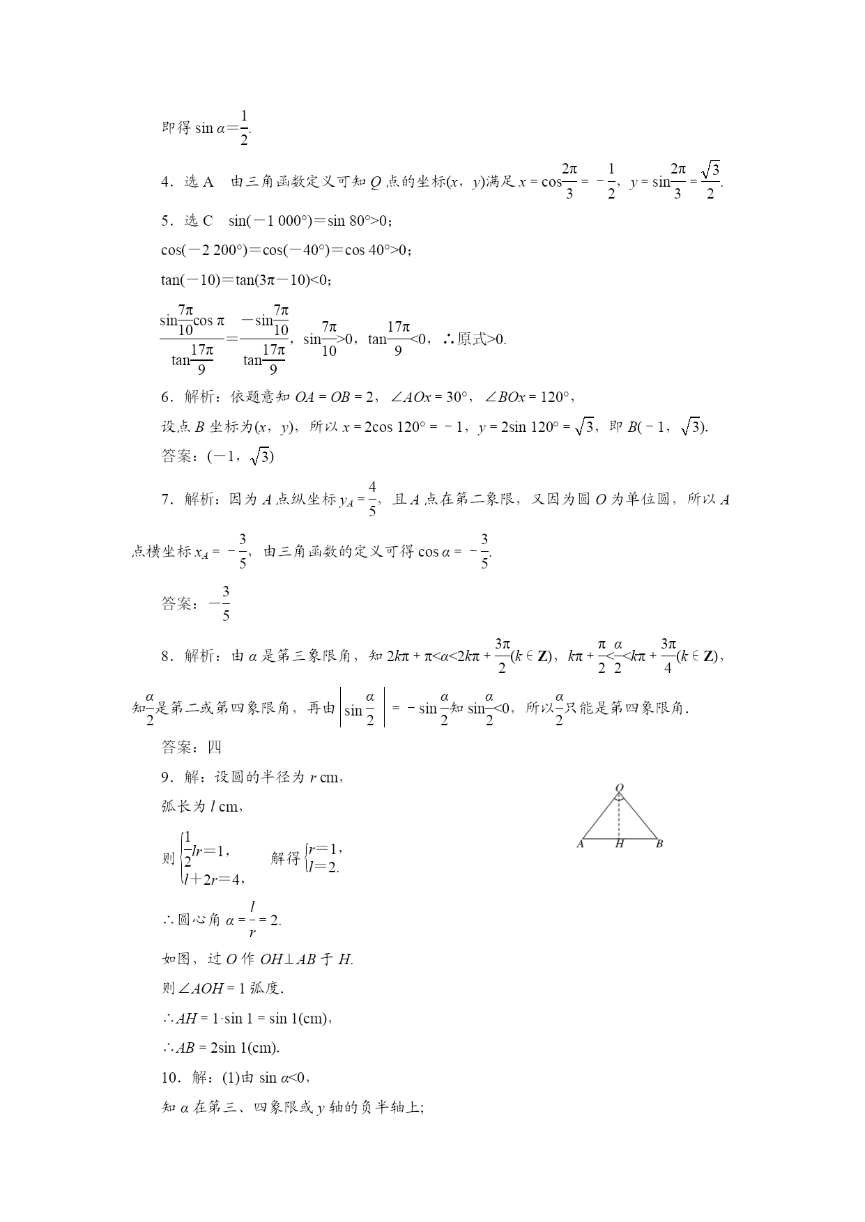
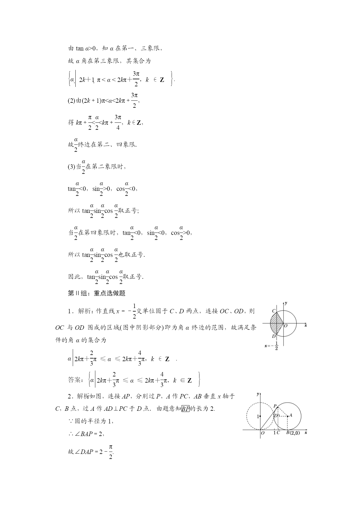
课时跟踪检测(十七)任意角和弧度制及任意角的三角函数 第Ⅰ组:全员必做题 1.将表的分针拨快10分钟,则分针旋转过程中形成的角的弧度数是() A.eq\f(π,3) B.eq\f(π,6) C.-eq\f(π,3) D.-eq\f(π,6) 2.已知cosθ·tanθ<0,那么角θ是() A.第一或第二象限角 B.第二或第三象限角 C.第三或第四象限角 D.第一或第四象限角 3.已知角α和角β的终边关于直线y=x对称,且β=-eq\f(π,3),则sinα=() A.-eq\f(\r(3),2) B.eq\f(\r(3),2) C.-eq\f(1,2) D.eq\f(1,2) 4.点P从(1,0)出发,沿单位圆逆时针方向运动eq\f(2π,3)弧长到达Q点,则Q点的坐标为() A.eq\b\lc\(\rc\)(\a\vs4\al\co1(-\f(1,2),\f(\r(3),2))) B.eq\b\lc\(\rc\)(\a\vs4\al\co1(-\f(\r(3),2),-\f(1,2))) C.eq\b\lc\(\rc\)(\a\vs4\al\co1(-\f(1,2),-\f(\r(3),2))) D.eq\b\lc\(\rc\)(\a\vs4\al\co1(-\f(\r(3),2),\f(1,2))) 5.给出下列各函数值:①sin(-1000°);②cos(-2200°);③tan(-10);④eq\f(sin\f(7π,10)cosπ,tan\f(17π,9)),其中符号为负的是() A.① B.② C.③ D.④ 6.在直角坐标系中,O是原点,A(eq\r(3),1),将点A绕O逆时针旋转90°到B点,则B点坐标为__________. 7.如图所示,在平面直角坐标系xOy中,角α的终边与单位圆交于点A,点A的纵坐标为eq\f(4,5),则cosα=________. 8.设角α是第三象限角,且eq\b\lc\|\rc\|(\a\vs4\al\co1(sin\f(α,2)))=-sineq\f(α,2),则角eq\f(α,2)是第________象限角. 9.一个扇形OAB的面积是1cm2,它的周长是4cm,求圆心角的弧度数和弦长AB. 10.已知sinα<0,tanα>0. (1)求α角的集合; (2)求eq\f(α,2)终边所在的象限; (3)试判断taneq\f(α,2)sineq\f(α,2)coseq\f(α,2)的符号. 第Ⅱ组:重点选做题 1.满足cosα≤-eq\f(1,2)的角α的集合为________. 2.如图,在平面直角坐标系xOy中,一单位圆的圆心的初始位置在(0,1),此时圆上一点P的位置在(0,0),圆在x轴上沿正向滚动.当圆滚动到圆心位于(2,1)时,的坐标为________. 答案 第Ⅰ组:全员必做题 1.选C将表的分针拨快应按顺时针方向旋转,为负角. 故A、B不正确,又因为拨快10分钟,故应转过的角为圆周的eq\f(1,6).即为-eq\f(1,6)×2π=-eq\f(π,3). 2.选C易知sinθ<0,且cosθ≠0,∴θ是第三或第四象限角. 3.选D因为角α和角β的终边关于直线y=x对称,所以α+β=2kπ+eq\f(π,2)(k∈Z), 又β=-eq\f(π,3),所以α=2kπ+eq\f(5π,6)(k∈Z), 即得sinα=eq\f(1,2). 4.选A由三角函数定义可知Q点的坐标(x,y)满足x=coseq\f(2π,3)=-eq\f(1,2),y=sineq\f(2π,3)=eq\f(\r(3),2). 5.选Csin(-1000°)=sin80°>0; cos(-2200°)=cos(-40°)=cos40°>0; tan(-10)=tan(3π-10)<0; eq\f(sin\f(7π,10)cosπ,tan\f(17π,9))=eq\f(-sin\f(7π,10),tan\f(17π,9)),sineq\f(7π,10)>0,taneq\f(17π,9)<0,∴原式>0. 6.解析:依题意知OA=OB=2,∠AOx=30°,∠BOx=120°, 设点B坐标为(x,y),所以x=2cos120°=-1,y=2sin120°=eq\r(3),即B(-1,eq\r(3)). 答案:(-1,eq\r(3)) 7.解析:因为A点纵坐标yA=eq\f(4,5),且A点在第二象限,又因为圆O为

sy****29
实名认证
内容提供者


最近下载
一种胃肠道超声检查助显剂及其制备方法.pdf
201651206021+莫武林+浅析在互联网时代下酒店的营销策略——以湛江民大喜来登酒店为例.doc
201651206021+莫武林+浅析在互联网时代下酒店的营销策略——以湛江民大喜来登酒店为例.doc
用于空间热电转换的耐高温涡轮发电机转子及其装配方法.pdf
用于空间热电转换的耐高温涡轮发电机转子及其装配方法.pdf
用于空间热电转换的耐高温涡轮发电机转子及其装配方法.pdf
用于空间热电转换的耐高温涡轮发电机转子及其装配方法.pdf
用于空间热电转换的耐高温涡轮发电机转子及其装配方法.pdf
用于空间热电转换的耐高温涡轮发电机转子及其装配方法.pdf
论《离骚》诠释史中的“香草”意蕴.docx