




如果您无法下载资料,请参考说明:
1、部分资料下载需要金币,请确保您的账户上有足够的金币
2、已购买过的文档,再次下载不重复扣费
3、资料包下载后请先用软件解压,在使用对应软件打开
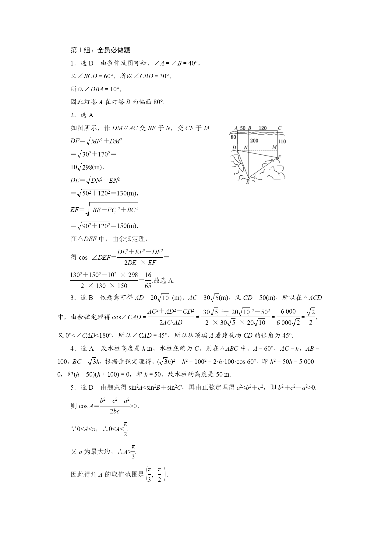
课时跟踪检测(二十四)解三角形应用举例 第Ⅰ组:全员必做题 1.两座灯塔A和B与海岸观察站C的距离相等,灯塔A在观察站南偏西40°,灯塔B在观察站南偏东60°,则灯塔A在灯塔B的() A.北偏东10°B.北偏西10°C.南偏东80°D.南偏西80° 2.如图,为了解某海域海底构造,在海平面内一条直线上的A,B,C三点进行测量,已知AB=50m,BC=120m,于A处测得水深AD=80m,于B处测得水深BE=200m,于C处测得水深CF=110m,则∠DEF的余弦值为() A.eq\f(16,65)B.eq\f(19,65)C.eq\f(16,57)D.eq\f(17,57) 3.如图,两座相距60m的建筑物AB,CD的高度分别为20m、50m,BD为水平面,则从建筑物AB的顶端A看建筑物CD的张角为() A.30° B.45° C.60° D.75° 4.一个大型喷水池的中央有一个强大喷水柱,为了测量喷水柱喷出的水柱的高度,某人在喷水柱正西方向的点A测得水柱顶端的仰角为45°,沿点A向北偏东30°前进100m到达点B,在B点测得水柱顶端的仰角为30°,则水柱的高度是() A.50mB.100mC.120mD.150m 5.(2014·厦门模拟)在不等边三角形ABC中,角A、B、C所对的边分别为a、b、c,其中a为最大边,如果sin2(B+C)<sin2B+sin2C,则角A的取值范围为() A.eq\b\lc\(\rc\)(\a\vs4\al\co1(0,\f(π,2))) B.eq\b\lc\(\rc\)(\a\vs4\al\co1(\f(π,4),\f(π,2))) C.eq\b\lc\(\rc\)(\a\vs4\al\co1(\f(π,6),\f(π,3))) D.eq\b\lc\(\rc\)(\a\vs4\al\co1(\f(π,3),\f(π,2))) 6.(2014·大连联合模拟)如图,为测得河对岸塔AB的高,先在河岸上选一点C,使C在塔底B的正东方向上,测得点A的仰角为60°,再由点C沿北偏东15°方向走10米到位置D,测得∠BDC=45°,则塔AB的高是________. 7.(2013·福建高考)如图,在△ABC中,已知点D在BC边上,AD⊥AC,sin∠BAC=eq\f(2\r(2),3),AB=3eq\r(2),AD=3,则BD的长为________. 8.某路边一树干被台风吹断后,折成与地面成45°角,树干也倾斜为与地面成75°角,树干底部与树尖着地处相距20m,则折断点与树干底部的距离是________m. 9.在海岸A处,发现北偏东45°方向,距离A处(eq\r(3)-1)海里的B处有一艘走私船;在A处北偏西75°方向,距离A处2海里的C处的缉私船奉命以10eq\r(3)海里/小时的速度追截走私船.同时,走私船正以10海里/小时的速度从B处向北偏东30°方向逃窜,问缉私船沿什么方向能最快追上走私船?最少要花多少时间? 10.(2013·江苏高考)如图,游客从某旅游景区的景点A处下山至C处有两种路径.一种是从A沿直线步行到C,另一种是先从A沿索道乘缆车到B,然后从B沿直线步行到C.现有甲、乙两位游客从A处下山,甲沿AC匀速步行,速度为50m/min.在甲出发2min后,乙从A乘缆车到B,在B处停留1min后,再从B匀速步行到C.假设缆车匀速直线运动的速度为130m/min,山路AC长为1260m,经测量,cosA=eq\f(12,13),cosC=eq\f(3,5). (1)求索道AB的长; (2)问:乙出发多少分钟后,乙在缆车上与甲的距离最短? (3)为使两位游客在C处互相等待的时间不超过3分钟,乙步行的速度应控制在什么范围内? 第Ⅱ组:重点选做题 1.如图,一艘船上午9∶30在A处测得灯塔S在它的北偏东30°的方向,之后它继续沿正北方向匀速航行,上午10∶00到达B处,此时又测得灯塔S在它的北偏东75°的方向,且与它相距8eq\r(2)nmile.此船的航速是________nmile/h. 2.(2013·湖北八市联考)如图所示,已知树顶A离地面eq\f(21,2)米,树上另一点B离地面eq\f(11,2)米,某人在离地面eq\f(3,2)米的C处看此树,则该人离此树________米时,看A,B的视角最大. 答案 第Ⅰ组:全员必做题 1.选D由条件及图可知,∠A=∠B=40°, 又∠BCD=60°,所以∠CBD=30°, 所以∠DBA=10°, 因此灯塔A在灯塔B南偏西80°. 2.选A 如图所示,作DM∥AC交BE于N,交CF于M. DF=eq\r(MF2+

sy****29
实名认证
内容提供者


最近下载
一种胃肠道超声检查助显剂及其制备方法.pdf
201651206021+莫武林+浅析在互联网时代下酒店的营销策略——以湛江民大喜来登酒店为例.doc
201651206021+莫武林+浅析在互联网时代下酒店的营销策略——以湛江民大喜来登酒店为例.doc
用于空间热电转换的耐高温涡轮发电机转子及其装配方法.pdf
用于空间热电转换的耐高温涡轮发电机转子及其装配方法.pdf
用于空间热电转换的耐高温涡轮发电机转子及其装配方法.pdf
用于空间热电转换的耐高温涡轮发电机转子及其装配方法.pdf
用于空间热电转换的耐高温涡轮发电机转子及其装配方法.pdf
用于空间热电转换的耐高温涡轮发电机转子及其装配方法.pdf
论《离骚》诠释史中的“香草”意蕴.docx