




如果您无法下载资料,请参考说明:
1、部分资料下载需要金币,请确保您的账户上有足够的金币
2、已购买过的文档,再次下载不重复扣费
3、资料包下载后请先用软件解压,在使用对应软件打开
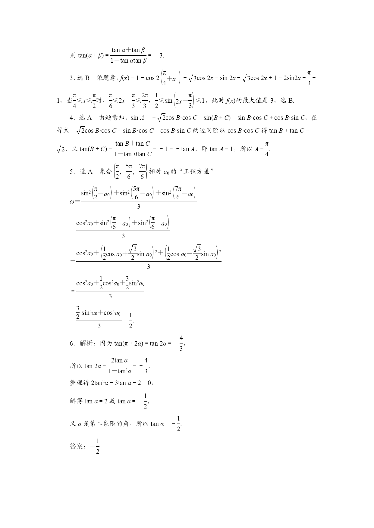
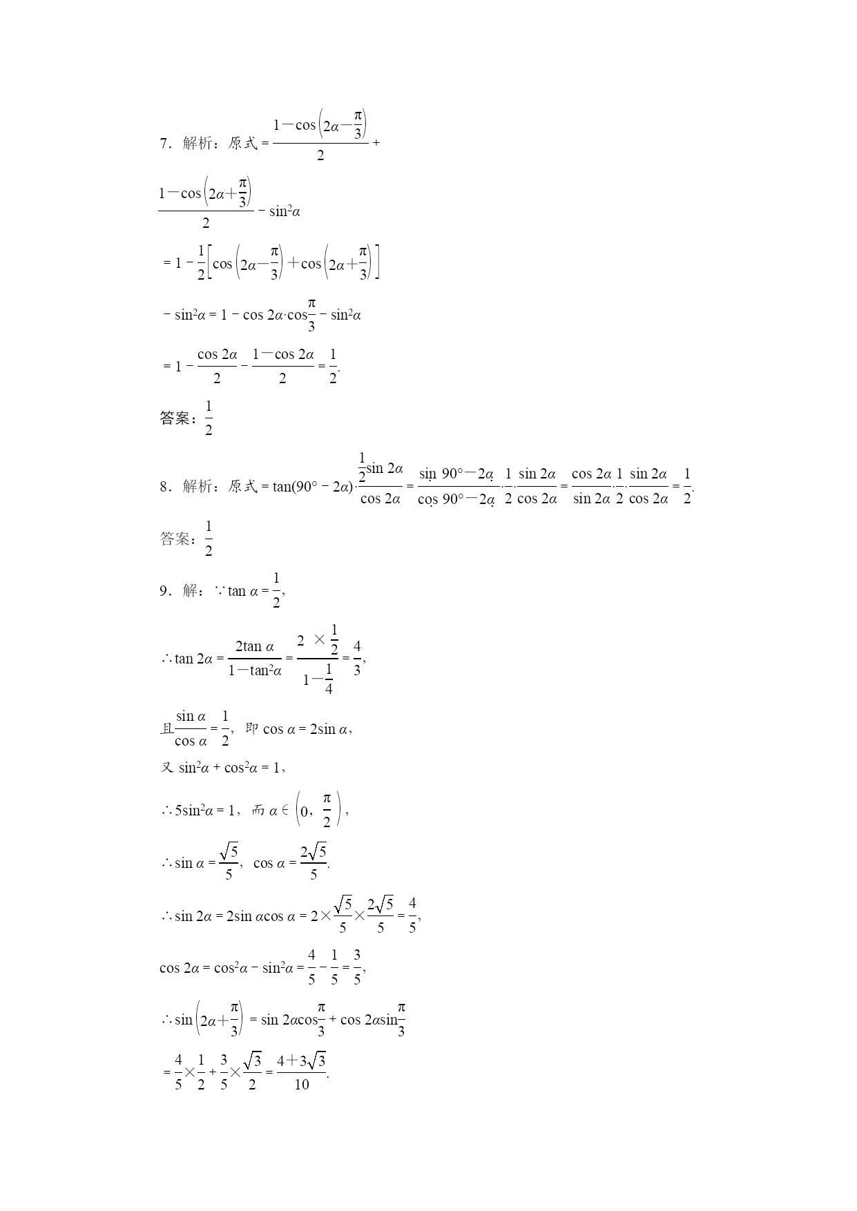
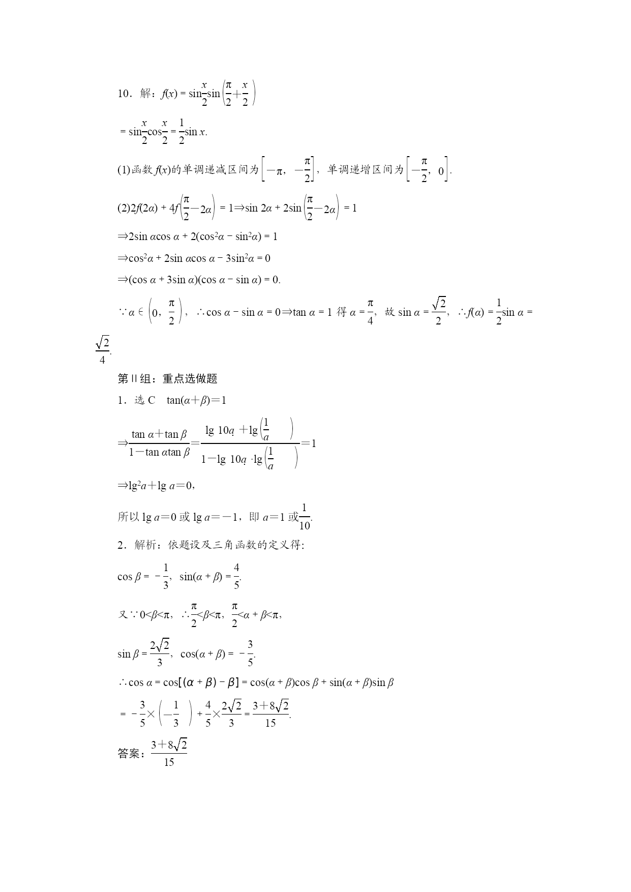
课时跟踪检测(二十一)两角和与差的正弦、余弦和正切公式 第Ⅰ组:全员必做题 1.化简cos15°cos45°-cos75°sin45°的值为() A.eq\f(1,2) B.eq\f(\r(3),2) C.-eq\f(1,2) D.-eq\f(\r(3),2) 2.设tanα,tanβ是方程x2-3x+2=0的两根,则tan(α+β)的值为() A.-3 B.-1 C.1 D.3 3.(2013·洛阳统考)函数f(x)=2sin2eq\b\lc\(\rc\)(\a\vs4\al\co1(\f(π,4)+x))-eq\r(3)cos2xeq\b\lc\(\rc\)(\a\vs4\al\co1(\f(π,4)≤x≤\f(π,2)))的最大值为() A.2 B.3 C.2+eq\r(3) D.2-eq\r(3) 4.(2014·兰州检测)在斜三角形ABC中,sinA=-eq\r(2)cosB·cosC,且tanB·tanC=1-eq\r(2),则角A的值为() A.eq\f(π,4) B.eq\f(π,3) C.eq\f(π,2) D.eq\f(3π,4) 5.对于集合{a1,a2,…,an}和常数a0,定义:ω=eq\f(sin2a1-a0+sin2a2-a0+…+sin2an-a0,n)为集合{a1,a2,…,an}相对a0的“正弦方差”,则集合eq\b\lc\{\rc\}(\a\vs4\al\co1(\f(π,2),\f(5π,6),\f(7π,6)))相对a0的“正弦方差”为() A.eq\f(1,2) B.eq\f(1,3) C.eq\f(1,4) D.与a0有关的一个值 6.已知α是第二象限的角,tan(π+2α)=-eq\f(4,3),则tanα=________. 7.化简sin2eq\b\lc\(\rc\)(\a\vs4\al\co1(α-\f(π,6)))+sin2eq\b\lc\(\rc\)(\a\vs4\al\co1(α+\f(π,6)))-sin2α的结果是________. 8.化简eq\f(2tan45°-α,1-tan245°-α)·eq\f(sinαcosα,cos2α-sin2α)=________. 9.已知α∈eq\b\lc\(\rc\)(\a\vs4\al\co1(0,\f(π,2))),tanα=eq\f(1,2),求tan2α和sineq\b\lc\(\rc\)(\a\vs4\al\co1(2α+\f(π,3)))的值. 10.已知函数f(x)=sineq\f(x,2)sineq\b\lc\(\rc\)(\a\vs4\al\co1(\f(π,2)+\f(x,2))). (1)求函数f(x)在[-π,0]上的单调区间. (2)已知角α满足α∈eq\b\lc\(\rc\)(\a\vs4\al\co1(0,\f(π,2))),2f(2α)+4feq\b\lc\(\rc\)(\a\vs4\al\co1(\f(π,2)-2α))=1,求f(α)的值. 第Ⅱ组:重点选做题 1.若tanα=lg(10a),tanβ=lgeq\b\lc\(\rc\)(\a\vs4\al\co1(\f(1,a))),且α+β=eq\f(π,4),则实数a的值为() A.1 B.eq\f(1,10) C.1或eq\f(1,10) D.1或10 2.(2014·烟台模拟)已知角α,β的顶点在坐标原点,始边与x轴的正半轴重合,α,β∈(0,π),角β的终边与单位圆交点的横坐标是-eq\f(1,3),角α+β的终边与单位圆交点的纵坐标是eq\f(4,5),则cosα=________. 答案 第Ⅰ组:全员必做题 1.选Acos15°cos45°-cos75°sin45°=cos15°cos45°-sin15°sin45°=cos(15°+45°)=cos60°=eq\f(1,2). 2.选A由题意可知tanα+tanβ=3,tanα·tanβ=2, 则tan(α+β)=eq\f(tanα+tanβ,1-tanαtanβ)=-3. 3.选B依题意,f(x)=1-cos2eq\b\lc\(\rc\)(\a\vs4\al\co1(\f(π,4)+x))-eq\r(3)cos2x=sin2x-eq\r(3)cos2x+1=2sin2x-eq\f(π,3)+1,当eq\f(π,4)≤x≤eq\f(π,2)时,eq\f(

sy****29
实名认证
内容提供者


最近下载
一种胃肠道超声检查助显剂及其制备方法.pdf
201651206021+莫武林+浅析在互联网时代下酒店的营销策略——以湛江民大喜来登酒店为例.doc
201651206021+莫武林+浅析在互联网时代下酒店的营销策略——以湛江民大喜来登酒店为例.doc
用于空间热电转换的耐高温涡轮发电机转子及其装配方法.pdf
用于空间热电转换的耐高温涡轮发电机转子及其装配方法.pdf
用于空间热电转换的耐高温涡轮发电机转子及其装配方法.pdf
用于空间热电转换的耐高温涡轮发电机转子及其装配方法.pdf
用于空间热电转换的耐高温涡轮发电机转子及其装配方法.pdf
用于空间热电转换的耐高温涡轮发电机转子及其装配方法.pdf
论《离骚》诠释史中的“香草”意蕴.docx