




如果您无法下载资料,请参考说明:
1、部分资料下载需要金币,请确保您的账户上有足够的金币
2、已购买过的文档,再次下载不重复扣费
3、资料包下载后请先用软件解压,在使用对应软件打开
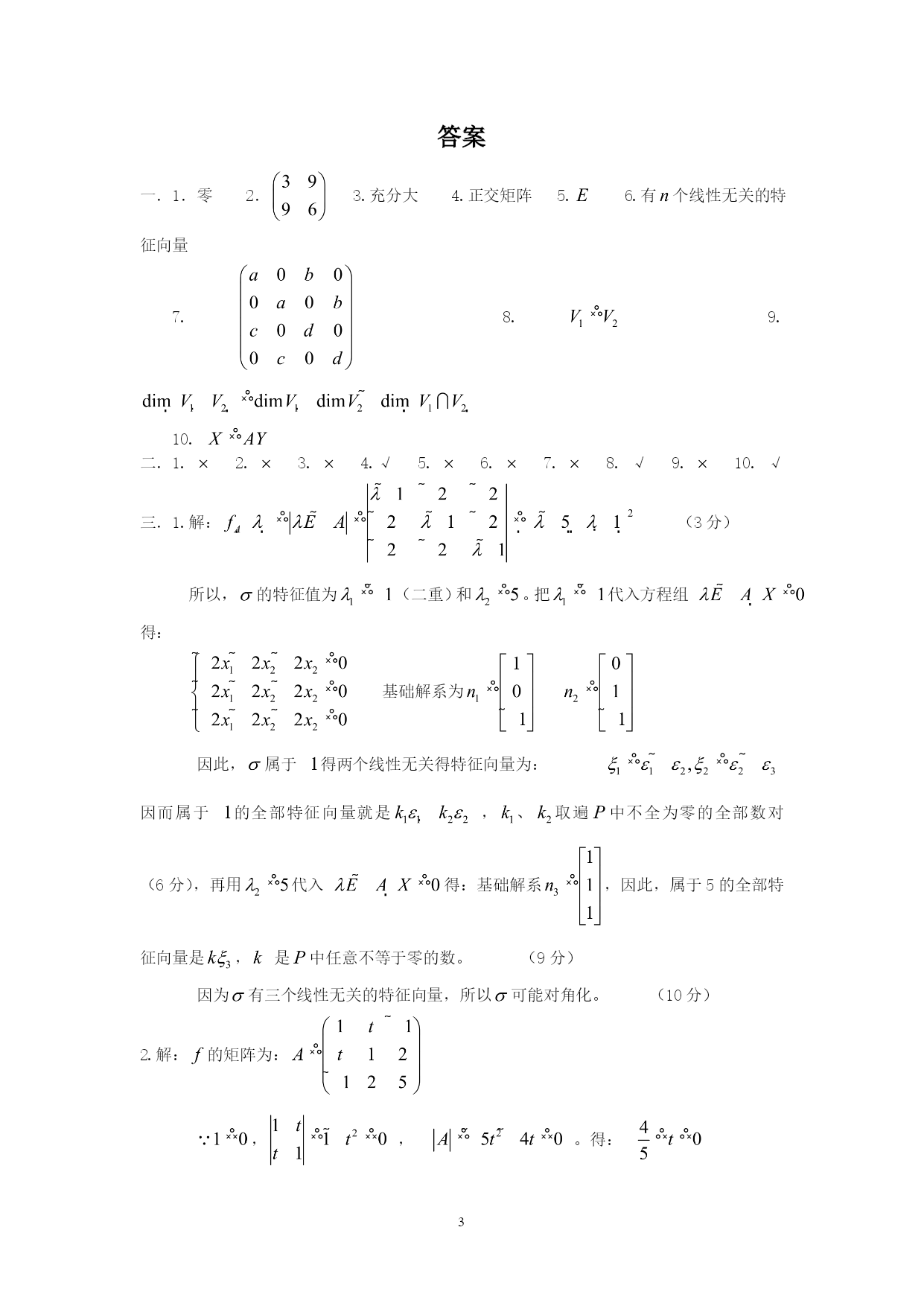
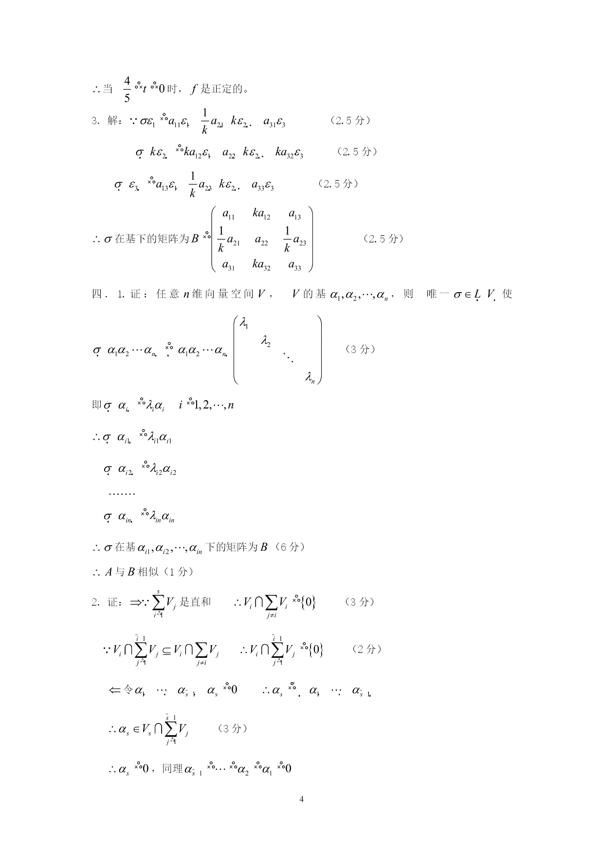
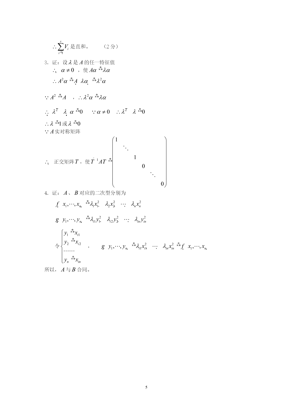
一、填空题(共10题,每题2分,共20分)1.只于自身合同的矩阵是矩阵。2.二次型的矩阵为__________________。3.设是实对称矩阵,则当实数_________________,是正定矩阵。4.正交变换在标准正交基下的矩阵为_______________________________。5.标准正交基下的度量矩阵为_________________________。6.线性变换可对角化的充要条件为__________________________________。7.在中定义线性变换为:,写出在基下的矩阵_______________________________。8.设、都是线性空间的子空间,且,若,则_____________________。9.叙述维数公式_________________________________________________________________________。10.向量在基(1)与基(2)下的坐标分别为、,且从基(1)到基(2)的过渡矩阵为,则与的关系为_____________________________。二、判断题(共10题,每题1分,共10分)1.线性变换在不同基下的矩阵是合同的。()2.设为维线性空间上的线性变换,则。()3.平面上不平行于某一向量的全部向量所成的集合,对于向量的加法和数量乘法,构成实数域上的线性空间。()4.设与分别是齐次线性方程组与的解空间,则()5.为正定二次型。()6.数域上任意一个矩阵都合同于一对角矩阵。()7.把复数域看作复数域上的线性空间,,令,则是线性变换。()8.若是正交变换,那么的不变子空间的真正交补也是的不变子空间。()9.欧氏空间中不同基的度量矩阵是相似的。()10.若为()中的微分变换,则不可对角化。()三、计算题(共3题,每题10分,共30分)1.设线性变换在基下的矩阵为,求的特征值与特征向量,并判断是否可对角化?2.取什么值时,下列二次型是正定的?3.设三维线性空间上的线性变换在基下的矩阵为:,求在基,下的矩阵。四、证明题(共4题,每题10分,共40分)1.证明:与相似,其中是的一个排列。2.证明:和是直和的充要条件为:。3.设是级实对称矩阵,且,证明:存在正交矩阵,使得:4.证明:与合同,其中是的一个排列。答案一.1.零2.3.充分大4.正交矩阵5.6.有个线性无关的特征向量7.8.9.10.二.1.2.3.4.√5.6.7.8.√9.10.√三.1.解:(3分)所以,的特征值为(二重)和。把代入方程组得:基础解系为因此,属于得两个线性无关得特征向量为:因而属于的全部特征向量就是,、取遍中不全为零的全部数对(6分),再用代入得:基础解系,因此,属于5的全部特征向量是,是中任意不等于零的数。(9分)因为有三个线性无关的特征向量,所以可能对角化。(10分)2.解:的矩阵为:,,。得:当时,是正定的。3.解:(2.5分)(2.5分)(2.5分)在基下的矩阵为(2.5分)四.1.证:任意维向量空间,的基,则唯一使(3分)即在基下的矩阵为(6分)与相似(1分)2.证:是直和(3分)(2分)令(3分),同理是直和。(2分)3.证:设是的任一特征值,使,或实对称矩阵正交矩阵,使4.证:、对应的二次型分别为令,所以,与合同。

yy****24
实名认证
内容提供者


最近下载
一种胃肠道超声检查助显剂及其制备方法.pdf
201651206021+莫武林+浅析在互联网时代下酒店的营销策略——以湛江民大喜来登酒店为例.doc
201651206021+莫武林+浅析在互联网时代下酒店的营销策略——以湛江民大喜来登酒店为例.doc
用于空间热电转换的耐高温涡轮发电机转子及其装配方法.pdf
用于空间热电转换的耐高温涡轮发电机转子及其装配方法.pdf
用于空间热电转换的耐高温涡轮发电机转子及其装配方法.pdf
用于空间热电转换的耐高温涡轮发电机转子及其装配方法.pdf
用于空间热电转换的耐高温涡轮发电机转子及其装配方法.pdf
用于空间热电转换的耐高温涡轮发电机转子及其装配方法.pdf
论《离骚》诠释史中的“香草”意蕴.docx